手写版因式分解的十种方法
因式分解是一种数学变形,它把一个多项式化成几个整式的积的形式,也称为分解因式。他在数学中有着广泛的应用,它可以用于简化复杂的数学表达式,也可以用于解决某些数学问题。例如,在解决某些代数问题时,通过因式分解可以简化计算过程;在解方程时,通过因式分解可以更快地找到根。
因式分解有两个基本要素,一是结果必须是整式,二是结果必须是积的形式。因式分解与整式乘法是相反的过程,可以用它来简化某些数学表达式。
公因式是因式分解中的一个重要概念,它指的是一个多项式每项都含有的公共的因式。确定公因式的方法有多种,例如当系数是整数时,可以取各项最大公约数;对于相同字母,则取最低次幂;对于系数最大公约数与相同字母取最低次幂的积,就是这个多项式各项的公因式。
在因式分解的过程中,需要注意一些细节和技巧,例如提取公因式后,需要确定商式,并将公因式与商式写成积的形式。此外,因式分解的结果应该是等式,即左右两边相等。
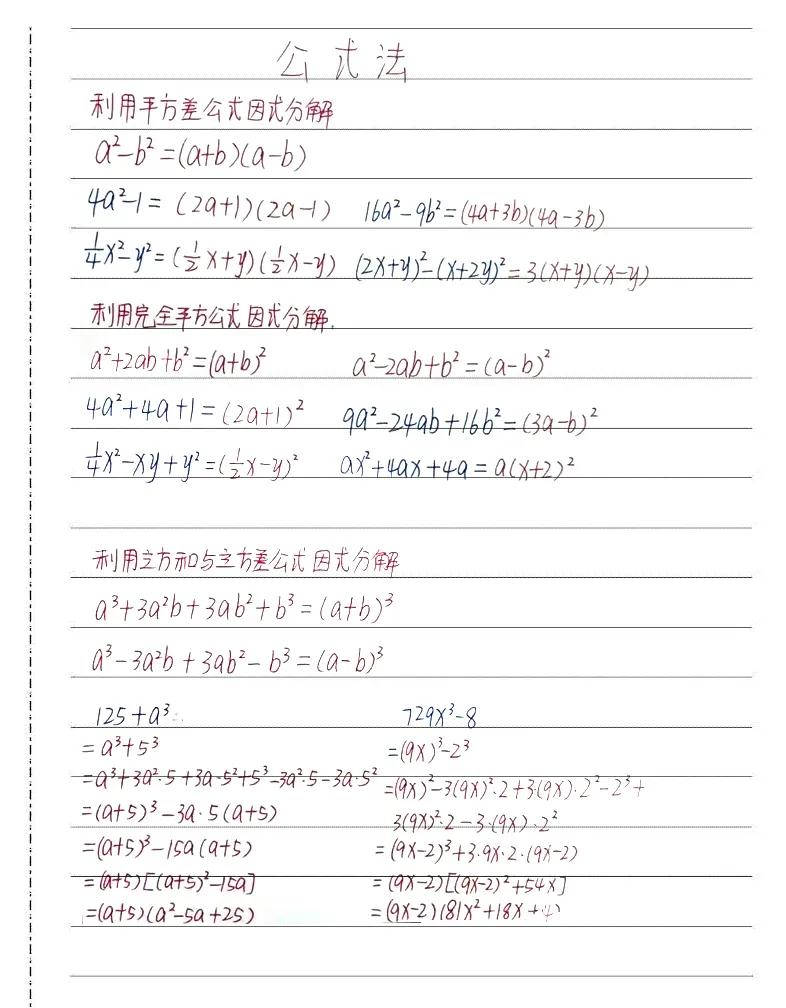
下面为大家总结因式分解的主要内容,快记下来吧~





© 版权声明
文章版权归作者所有,未经允许请勿转载。
THE END


_00-353x500.png)







_00-724x1024.png)





暂无评论内容